Probability Distribution
In probability and statistics distribution is a characteristic of a random variable, describes the probability of the random variable in each value.
Each distribution has a certain probability density function and probability distribution function.
Though there are indefinite number of probability distributions, there are several common distributions in use.
Cumulative distribution function
The probability distribution is described by the cumulative distribution function F(x),
which is the probability of random variable X to get value smaller than or equal to x:
F(x) = P(X ≤ x)
Continuous distribution
The cumulative distribution function F(x) is calculated by integration of the probability density function f(u) of continuous random variable X.

Discrete distribution
The cumulative distribution function F(x) is calculated by summation of the probability mass function P(u) of discrete random variable X.

Continuous distributions table
Continuous distribution is the distribution of a continuous random variable.
Continuous distribution example
...
Continuous distributions table
| Distribution name | Distribution symbol | Probability density function (pdf) | Mean | Variance |
|---|---|---|---|---|
|
fX (x) |
μ = E(X) |
σ2 = Var(X) |
||
| Normal / gaussian |
X ~ N(μ,σ2) |
|
μ | σ 2 |
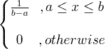
| Uniform |
X ~ U(a,b) |
|
|
|
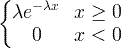
| Exponential | X ~ exp(λ) |
|
|
|
| Gamma | X ~ gamma(c, λ) |
x > 0, c > 0, λ > 0 |
|
|
| Chi square |
X ~ χ 2(k) |
![]() |
k |
2k |
| Wishart | ||||
| F |
X ~ F (k1, k2) |
|||
| Beta | ||||
| Weibull | ||||
| Log-normal |
X ~ LN(μ,σ2) |
|||
| Rayleigh | ||||
| Cauchy | ||||
| Dirichlet | ||||
| Laplace | ||||
| Levy | ||||
| Rice | ||||
| Student's t |
Discrete distributions table
Discrete distribution is the distribution of a discrete random variable.
Discrete distribution example
...
Discrete distributions table
| Distribution name | Distribution symbol | Probability mass function (pmf) | Mean | Variance | |
|---|---|---|---|---|---|
|
fx(k) =
P(X=k)
k = 0,1,2,... |
E(x) | Var(x) | |||
| Binomial |
X ~ Bin(n,p) |
|
np |
np(1-p) |
|
| Poisson |
X ~ Poisson(λ) |
|
λ ≥ 0 |
λ |
λ |
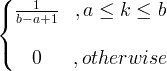
| Uniform |
X ~ U(a,b) |
|
|
|
|
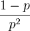
| Geometric |
X ~ Geom(p) |
|
|
|
|
| Hyper-geometric |
X ~ HG(N,K,n) |
|
N = 0,1,2,... K = 0,1,..,N n = 0,1,...,N |
|
|
| Bernoulli |
X ~ Bern(p) |
|
p |
p(1-p) |
|
