Fibonacci Numbers & Sequence
Fibonacci sequence is a sequence of numbers, where each number is the sum of the 2 previous numbers, except the first two numbers that are 0 and 1.
- Fibonacci sequence formula
- Golden ratio convergence
- Fibonacci sequence table
- Fibonacci sequence calculator
- C++ code of Fibonacci function
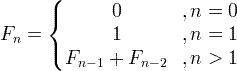
Fibonacci sequence formula
For example:
F0 = 0
F1 = 1
F2 = F1+F0 = 1+0 = 1
F3 = F2+F1 = 1+1 = 2
F4 = F3+F2 = 2+1 = 3
F5 = F4+F3 = 3+2 = 5
...
Golden ratio convergence
The ratio of two sequential Fibonacci numbers, converges to the golden ratio:
φ is the golden ratio = (1+√5) / 2 ≈ 1.61803399
Fibonacci sequence table
| n | Fn |
|---|---|
| 0 | 0 |
| 1 | 1 |
| 2 | 1 |
| 3 | 2 |
| 4 | 3 |
| 5 | 5 |
| 6 | 8 |
| 7 | 13 |
| 8 | 21 |
| 9 | 34 |
| 10 | 55 |
| 11 | 89 |
| 12 | 144 |
| 13 | 233 |
| 14 | 377 |
| 15 | 610 |
| 16 | 987 |
| 17 | 1597 |
| 18 | 2584 |
| 19 | 4181 |
| 20 | 6765 |
Fibonacci sequence calculator
TBD
C code of Fibonacci function
double Fibonacci(unsigned int n)
{
double f_n =n;
double f_n1=0.0;
double f_n2=1.0;
if( n > 1 ) {
for(int k=2; k<=n; k++) {
f_n = f_n1 + f_n2;
f_n2 = f_n1;
f_n1 = f_n;
}
}
return f_n;
}