Inductor

Inductor is an electrical component that stores energy in magnetic field.

The inductor is made of a coil of conducting wire.

In an electrical circuit schematics, the inductor marked with the letter L.

The inductance is measured in units of Henry [L].

Inductor reduce current in AC circuits and short circuit in DC circuits.

 

Inductor picture

 

Inductor symbols

Inductor
Iron core inductor
Variable inductor

 

Inductors in series

For several inductors in series the total equivalent inductance is:

LTotal = L1+L2+L3+...

 

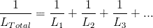
Inductors in parallel

For several inductors in parallel the total equivalent inductance is:

\frac{1}{L_{Total}}=\frac{1}{L_{1}}+\frac{1}{L_{2}}+\frac{1}{L_{3}}+...

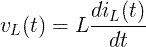
Inductor's voltage

v_L(t)=L\frac{di_L(t)}{dt}

Inductor's current

i_L(t)=i_L(0)+\frac{1}{L}\int_{0}^{t}v_L(\tau)d\tau

Energy of inductor

E_L=\frac{1}{2}LI^2

AC circuits

Inductor's reactance

XL = ωL

Inductor's impedance

Cartesian form:

ZL = jXL = jωL

Polar form:

ZL = XL∠90º

 

See also